Introduction
We describe the use of Poisson worksheet functions to make predictions based on the Zero-Truncated Poisson (ZTP) regression models described in Creating a ZTP Regression Model using Solver.
Predictions
The Zero Truncated Poisson Regression option of the Poisson Regression data analysis tool provides the predictions for the X values in the original data, as shown on the right side of Figure 4 in Creating ZTP Regression Models using Solver.
You can also use the PoissonPredC and PoissonPredCC functions, as described in Poisson Regression Predictions, to make predictions based on a ZTP regression model.
Example
We now describe how to make predictions based on the ZTP regression model in Example 1 of Creating ZTP Regression Models using Solver. The regression coefficients and covariance matrix are duplicated in Figure 1.
Figure 1 – ZTP regression coefficients and covariance matrix
We can predict the number of doctors’ visits for patients with the traits shown in range J1:L7 of Figure 2, as shown on the right side of the figure using the array formula
=PoissonPredCC(J2:L7,G3:G6,F10:I13,TRUE)
in range N1:Q7.
Figure 2 – ZTP regression predictions
Note that the first three patients are included in the data used to create the ZTP regression model (rows 2, 6, and 8 from Figure 1 of Creating ZTP Regression Models using Solver), and the predictions in Figure 2 match those shown in Figure 4 of that webpage. Even though the last three patients were not included in the data used to create the ZTP regression, we were able to predict their mean number of doctors’ visits.
The output in range N2:N7 could also be generated via the formula
=PoissonPredC(J2:L7,G3:G6)
Probabilities
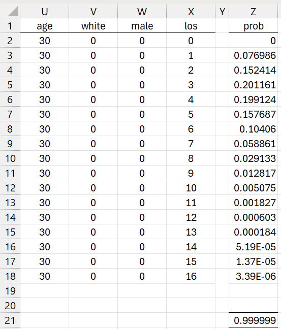
We can also generate probabilities based on a ZTP regression. E.g. for a 30-year-old non-white female patient, the probability of 0 to 16 doctors’ visits is shown in Figure 3 using the array formula =ZTPProb(U2:W18,G3:G6,X2:X18) in range Z2:Z18.
Figure 3 – ZTP probabilities
Note, for example, that we can also calculate the value in cell Z5 by the formula
=POISSON.DIST(3,N5,FALSE)/(1-EXP(-N5))
Worksheet Function
The Real Statistics Resource Pack provides the following worksheet functions in support of ZTP regression, based on the data in the n × k X array Rx, the n × 1 Y array Ry, the k+1 × 1 Rc coefficient array, and n × 1 frequency (exposure) array Rt. If Rt is omitted, it defaults to an array containing all ones. Ry can also take on a single value (default 0), in which case the function treats Ry as an array consisting only of this value.
ZTPProb(Rx, Rc, Ry, Rt): returns an n × 1 array with the predicted probabilities for the profiles described by Rx, Ry, and Ry based on the ZTP regression model defined by Rc.
Examples Workbook
Click here to download the Excel workbook with the examples described on this webpage.
Links
↑ Zero-truncated Poisson regression
References
Hilbe, J. M. (2014) Modeling count data. Cambridge University Press
https://assets.cambridge.org/97811070/28333/frontmatter/9781107028333_frontmatter.pdf
UCLA (2024) Zero-Truncated Poisson Regression
https://stats.oarc.ucla.edu/stata/dae/zero-truncated-poisson-regression/


